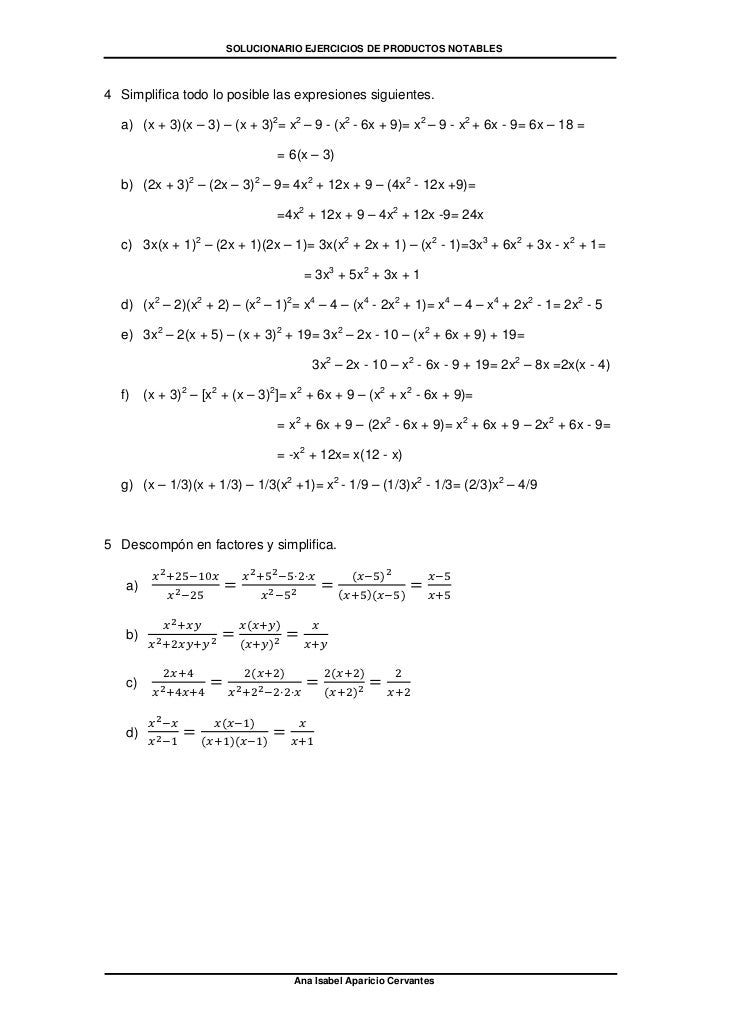
39 X2-6X+9/X2-9
X2-6X+9/X2-9
Hello, many thanks for visiting this web to look for x2-6x+9/x2-9. I am hoping the information that appears could be useful to you




Solucionario ejercicios de productos notables , Simplification de fractions rationnelles ppt video , Ejercicios de polinomios , Simplification de fractions rationnelles ppt video ,
Hello, many thanks for visiting this web to look for x2-6x+9/x2-9. I am hoping the information that appears could be useful to you


Belum ada Komentar untuk "39 X2-6X+9/X2-9"
Posting Komentar